1概述
在大嶺礦井安裝35/6kV變電所的過程中,由于1號鎘鎳直流屏無法正常調試,雖經多次檢修但一直不能正常運行。通過對直流屏進行檢查,發現是充電控制器(CCH)內部元件損壞而處于不正常的工作狀態造成充電裝置失控。經對CCH控制器內部接線進行詳細檢查,發現CCH控制器沒有保護裝置,使得充電控制器很容易受到過電壓的影響造成控制器失控,導致充電電壓過高或過低,電池不能正常充電。
2故障分析
2.1直流屏控制電路工作原理
直流屏控制實測電路簡圖如圖1所示。
從圖1中可以看出這是直流屏單相半控橋式整流電路,由于有不可控元件二極管存在,電感足夠大時,流過元件的電流為矩形波,在控制角為α時觸發晶閘管T1導通,電流通過T1和D9向負載提供電流,當V2下降到零并變負后,由于電感的作用,T1將繼續導通。D8和D9兩個二極管是共陰極接法,所以D8導通而D9關斷,電感中電流將通過T1與D8續流,輸出電壓V3;為這2個管子的正向壓降,接近于零。當T2在相應控制角α處觸發導通后,T1關斷,電源通過T2和D8又向負載提供電流。在電源電壓負半周過零時,則D9導通而D8關斷,電感通過T2和D9續流,V3也接近于零。
下次T1觸發導通后重復上述過程。根據各元件的導通情況,可知輸出電壓波形及各元件電流波形如圖2所示。
這種直流屏電路在實際運行中,當突然把控制角α增大到180°或者突然把觸發電路切斷時,會發生一個晶閘管直通,另2個二極管輪流導電的失控現象,例如切斷觸發電路時正值T1導通,當V2變負時,由于電感的作用,使電流通過T1和D8續流。當V2又為正時,由于T1管本身已經導通,所以電流又通過T1和D9給負載提供電流。這樣正負半周時D9、D8輪流導通,T1不能及時關斷,此時輸出電壓V3的波形相當于半波不可控整流時的波形。為了避免這種失控情況的產生,在負載側并聯一個續流二極管D10,使負載電流通過D10續流,而不再經過T1,使T1恢復阻斷能力。
加了續流二極管后其輸出電壓波形V3與不加續流二極管時相同。原先流經橋臂上元件的續流電流變成通過二極管續流。各原件中流過的電流波形和變壓器副邊電流波形明顯有一定的間隔。每個周期中流過晶閘管T1、T2、D8、D9的電流波形寬度都是π—α,其電流有效值為(Id為負載電流)
圖1所示直流屏電路結構上雖然滿足了使晶閘管KP一20的正常工作要求及充電回路的工作要求,而且采取了增加續流二極管的措施來避免單相橋式半控整流電路在電感性負載電路里某些條件下的失控現象,但還不能排除其它原因造成過電壓或過電流。
晶閘管的結構相當于串級雙晶體管模型P一N一P一N4層結構,因而具有3個PN結,分別引出陽極A,陰極K,門極G。在圖3結構里無論在PNP和NPN晶體管的A一K端點施加正向電壓還是反向電壓,其中的P一N一P一N結構都處于高阻阻斷狀態,只通過很小正向漏電流或很小的反向漏電流,與一般二極管的反向特性相似。一旦門極電流Ic注入G點,就會由于形成強烈的正反饋導致PNP和NPN進入完全飽和狀態,即晶閘管飽和導通。
因此,當K與A承受反向電壓時,如果門極G未與其它回路相聯為斷開狀態時,G與K就相當于一個承受反向電壓的二極管,承受的電壓與A和K相同。而A和K所承受電壓為340v,所以G與K就要承受340V的電壓。
為證實這點,取下1號鎘鎳電池直流屏CCH控制器,經送電測量發現晶閘管KP一20的G與K之間有340的交流電壓,從而證實了變壓器副邊電壓通過晶閘管的門極而加到CCH控制器的內部元件上,使得CCH控制器內部元件容易損壞,而且集成塊的工作狀態也容易受到干擾,造成CCH控制器的失控。
2.2過電壓的產生
另一方面,直流屏變壓器交流側也會由于大容量負載如大變比變壓器的合閘瞬間、其它負載切斷電源時以及整流變壓器電刀閘的開關斷開,也會由于初次級繞組間的分布電容,變壓器的激勵電流的突變在次級產生瞬時過電壓,其尖峰值可達工作電壓峰值的6倍以上,如圖4所示。

而晶閘管從導通到阻斷,線路電感產生的感應電勢非常大,其數值可達工作電壓峰值的5~6倍。它與電源電壓串聯反向加在已恢復阻斷的元件上極易導致晶閘管的反向擊穿。還有一個不可忽視的原因是,本電路是用于蓄電池充電,因此不可避免直流電勢對可控硅整流電路的影響。很明顯,當V3大于電勢E時,Ia才大于零即晶閘管導通,此時,V3=E+IdRo。特別在反電勢負載R。較小時還很容易造成過流。而且,負載串聯的電感L不合適時,雖然能改善輸出電流的平穩性,但也會使V3出現瞬時高壓。
因此,直流屏需在變壓器副邊并聯阻容串聯電路以吸收瞬時高壓。同時,還可以增加隔離保護電路。由于光電隔離最為可靠,可增加如圖5所示的光電隔離回路2套。
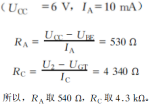
只需取下圖1所示的D1和D2兩個二極管,然后接到MOC4021光電隔離器的二極管側,另外2個端點按圖5所示接到晶閘管的控制極G和陽極A上。Rc及Rx的參數設計如下:
此外,為了防止直流屏電路短路或過載,還要安裝快速熔斷器或使用普通的RL螺旋式熔斷器,但需要注意的是熔斷器的額定電流不大于晶閘管工作電流的2/3。
總結
直流屏增加光電隔離電路后,一方面可以控制晶閘管對充電控制器(CCH)內部元件的影響,使得當2個晶閘管中任一個損壞或者當續流二極管Dro損壞時,不會造成控制器(CCH)失控。另一方面,又可避免兩晶閘管控制回路中任一回路故障時所造成的充電電壓過高或過低的不可調控故障。而且可避免晶閘管及續流二極管故障時所造成的直流屏充電電壓過高而報警及故障切斷回路不起作用,從而提高了電池充電的可靠性。